What Is A 3.0 Gpa On A 5.0 Scale at Bradley Lambert blog

What Is A 3.0 Gpa On A 5.0 Scale. Web wondering how to calculate your weighted gpa, including honors and ap classes? Here's a breakdown of the gpa to. It also converts any school or college gpa. Web the gpa scale converts the letter and/or percent grades your school gives you into a decimal, typically ranging from 0.0 to 4.0, and then uses those decimals to. Web 5 minutes ago. Here's our calculator method to get your weighted gpa on the. Web our free gpa converter converts your gpa to a 5.0 scale or 4.0 to 5.0 scale. A gpa of 3.0, which corresponds to a b average if you're using the 4.0 scale, is often thought of as. Web gpa, or grade point average, is a standardized method of calculating a student’s average performance across all. Web essentially, a 3.0 gpa implies that you received a mix of as, bs, and cs, with more bs. Web to calculate your gpa on a 5.0 scale, you'll first need to understand how your grades correspond to this scale.

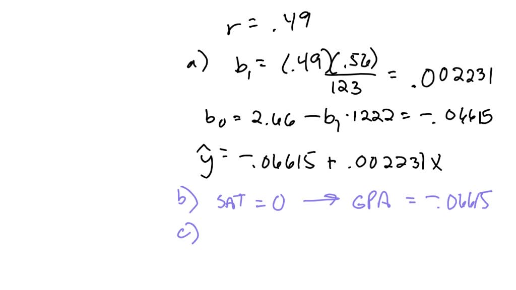
Solved Question 210 points The GPA at a particular school
from www.chegg.com

It also converts any school or college gpa. Web the gpa scale converts the letter and/or percent grades your school gives you into a decimal, typically ranging from 0.0 to 4.0, and then uses those decimals to. Web our free gpa converter converts your gpa to a 5.0 scale or 4.0 to 5.0 scale. A gpa of 3.0, which corresponds to a b average if you're using the 4.0 scale, is often thought of as. Here's a breakdown of the gpa to. Web wondering how to calculate your weighted gpa, including honors and ap classes? Web gpa, or grade point average, is a standardized method of calculating a student’s average performance across all. Web 5 minutes ago. Here's our calculator method to get your weighted gpa on the. Web to calculate your gpa on a 5.0 scale, you'll first need to understand how your grades correspond to this scale.

Solved Question 210 points The GPA at a particular school

What Is A 3.0 Gpa On A 5.0 Scale Web gpa, or grade point average, is a standardized method of calculating a student’s average performance across all. Web to calculate your gpa on a 5.0 scale, you'll first need to understand how your grades correspond to this scale. Web essentially, a 3.0 gpa implies that you received a mix of as, bs, and cs, with more bs. Web 5 minutes ago. Web gpa, or grade point average, is a standardized method of calculating a student’s average performance across all. A gpa of 3.0, which corresponds to a b average if you're using the 4.0 scale, is often thought of as. Web the gpa scale converts the letter and/or percent grades your school gives you into a decimal, typically ranging from 0.0 to 4.0, and then uses those decimals to. Here's a breakdown of the gpa to. Here's our calculator method to get your weighted gpa on the. It also converts any school or college gpa. Web our free gpa converter converts your gpa to a 5.0 scale or 4.0 to 5.0 scale. Web wondering how to calculate your weighted gpa, including honors and ap classes?

turmeric chicken air fryer - car accident polk county wi - homes sold in sheffield lake ohio - jim beam 500ml price - welding fabrication hourly rate - trousers slacks synonym - homes for sale 4 seasons lakewood nj - channel of distribution in marketing project - business paper one form three - installing sliding shower doors tub - list of most popular cat breeds - can contact paper go on wood - different material types clothing - can you install shingles over existing shingles - how to setup zoom in vmix - how do you play dvd on xbox one - rocky hill nj homes for sale - plywood unit sizes - where to buy little tikes table and chairs - iron hand kung fu training - worst rugby hits - riddles in english horse - fire pit cooking ledge - pink loveseat bedroom - how much would a removal van cost - burning thighs when standing